عدد الطلبة في الصف، وحياة المصباح الكهربائي ، ووقت وصول الحافلة التالية في المحطة كلها أمثلة على المتغيرات العشوائية التي نواجهها في الحياة اليومية. لقد أصبحت المتغيرات العشوائية تلعب دورًا مهمًا في كل مجال من مجالات الدراسات تقريبًا: في الفيزياء والكيمياء والهندسة ، وخاصة في العلوم البيولوجية والاجتماعية والإدارية. يتم قياس وتحليل المتغيرات العشوائية من حيث خصائصها الإحصائية والاحتمالية ، ومن الصفات الأساسيةللبيانات هي دالة التوزيع. على الرغم من أن عدد نماذج التوزيع المحتملة كبير جدًا ، إلا أن عددًا صغيرًا نسبيًا برز في التطبيقات العملية ، إما لأنها تتمتع بخصائص رياضية مرغوبة أو لأنها مرتبطة بشكل جيد بشريحة معينة من الواقع أو كليهما.
تقدم هذه المقالة تقريرا موجزًا عن الحقائق الرئيسية المتعلقة ببعض التوزيعات الاكثر استعمالا ويتضمن رسومًا بيانية بحيث يمكن بسهولة تقدير الأشكال والخصائص العامة الأخرى. لقد وجدنا أنفسنا في حاجة إلى مثل هذا الملخص في مناسبات متكررة – كطلاب ومعلمين وممارسين في محاولة لسد الحاجة إلى الوصول السريع إلى المعلومات التي يجب الحصول عليها من مصادر متفرقة ومكلفة بشكل فردي.
تجربة احتمالية: Probabilistic Experiment
التجربة الاحتمالية هي بعض الاحداث Events مثل رمي العملات المعدنية Coins ، أو النرد المتداول Dies ، أو مراقبة هطول الأمطار في يوم معين حيث تؤدي الاجواء الطبيعية المعقدة إلى نتائج احتمالية مختلفة .
فضاء العينة: Sample Space
تسمى مجموعة النتائج المحتملة للتجربة الاحتمالية بـ العينة Sample أو الحدث Event أو فضاء الاحتمال possibility space. على سبيل المثال ، إذا تم إلقاء عملتين نقديتين ، فإن فضاء العينة هي مجموعة النتائج المحتملة HH و HT و TH و TT ، حيث تشير H إلى الصورة و T الكتابة.
المتغير العشوائي : Random Variable
المتغير العشوائي هو دالة تقوم بتعيين الأحداث المحددة في فضاء العينة في مجموعة من القيم. يمكن تحديد عدة متغيرات عشوائية مختلفة فيما يتعلق بتجربة معينة. وبالتالي ، في حالة رمي عملتين ، يكون عدد الصور المشاهدة متغيرًا عشوائيًا واحدًا ، وعدد الكتابات هو متغير آخر ، وعدد الصور المزدوجة متغير آخر. يشير المتغير العشوائي “عدد الصور ” بالرقم 0 بالحدث TT ، والرقم 1 بالحدثين TH و HT ، والرقم 2 بالحدث HH. يوضح الشكل (1) هذا التعيين .

المتغير : Variate
عند مناقشة التوزيعات الإحصائية ، من الملائم العمل من حيث المتغيرات. المتغير هو تعميم لفكرة المتغير العشوائي وله خصائص احتمالية مماثلة ولكن يتم تعريفه دون الرجوع إلى نوع معين من التجارب الاحتمالية. المتغير هو مجموعة كل المتغيرات العشوائية التي تخضع لقانون احتمالي معين. عدد الصور وعدد الكتابة المشاهدة في تجارب رمي العملات المعدنية المستقلة هي عناصر من نفس المتغير العشوائي لأن العوامل الاحتمالية التي تحكم الجزء العددي من نتائجها متطابقة. متعدد المتغيرات هو متجه أو مجموعة من العناصر ، كل منها عبارة عن متغير. متغير المصفوفة هو مصفوفة أو مصفوفة ثنائية الأبعاد من العناصر ، كل منها متغير. بشكل عام ، قد توجد الاعتمادية بين هذه العناصر.
رقم عشوائي : Random Number
الرقم العشوائي المرتبط بمتغير معين هو رقم يتم توليده generated عند إدراك ان أي متغير عشوائي يمثل عنصرًا من هذا المتغير.
المدى : Range
لتكن X تشير إلى متغير ولتكن X هي مجموعة جميع القيم (العدد الحقيقي) التي يمكن أن يتخذها المتغير. المجموعة X هي نطاق X. كتوضيح (الرسوم التوضيحية من حيث المتغيرات العشوائية) ضع في اعتبارك تجربة رمي عملتين مع ملاحظة عدد الصور . مدى هذا المتغير العشوائي هو مجموعة الصور {0 ، 1 ، 2} ، حيث قد تظهر النتيجة صفرًا أو صورة واحدة أو صورتين . (يشير الاستخدام الشائع البديل لمصطلح المدى الى القيمة الأكبر مطروحًا منه أصغر مجموعة من القيم المتنوعة.)
مقدار (كمية): Quantile
بالنسبة للمتغير العام X ، لنفترض أن x (رقم حقيقي) يشير إلى عنصر عام من النطاق X. نشير إلى x على أنه مقدار X. في تجربة رمي العملة المشار إليها سابقًا ، x ∈ {0، 1، 2} الصور (H) ؛ وهذا يعني أن x عضو في مجموعة الصور {0، 1، 2}.
تعبير الاحتمالية Probability Statement
لنفترض أن X = x تعني “القيمة التي تتحقق من المتغير X هي x.” لنفترض أن Pr [X ≤ x] تعني “احتمال أن تكون القيمة المحققة بواسطة المتغير X أقل من أو تساوي x.”
مجال الاحتمالية Probability Domain
لتكن α (رقم حقيقي بين 0 و 1) يشير إلى الاحتمال. لنفترض أن α X هي مجموعة كل القيم (الاحتمالية) التي يمكن أن تأخذها Pr [X ≤ x]. بالنسبة للمتغير المستمر a continuous variate ، فإن α X هي قطعة مستقيمة [0 ، 1] ؛ بالنسبة للمتغير المنفصل (المتقطع) discrete variate ستكون مجموعة فرعية من هذا المقطع. وبالتالي فإن α X هو المجال الاحتمالي للمتغير X.
في الأمثلة سنستخدم الرمز X للدلالة على متغير عشوائي. لنفترض أن X هو عدد الصور التي مشاهداتها عند رمي عملتين. ثم لدينا


دالة التوزيع: Distribution Function
دالة التوزيع F (أو بشكل أكثر تحديدًا F(x) ) المرتبطة بخرائط متغيرة لـ X من النطاق X إلى مجال الاحتمال α X أو [0 ، 1] . اذ أن
، α ∈ α X. وان F (x) = Pr [X ≤ x] = α x ∈ X
لا تتناقص الدالة F (x) في x وتصل إلى القيمة (1) بحد أقصى x. يوضح الشكل دالة التوزيع لعدد الصور في تجربة رمي عملتين. يوضح الشكل (2) دالة التوزيع المستمر العامة والشكل (3) دالة التوزيع العامة المنفصلة.


دالة البقاء : Survival Function
دالة البقاء على قيد الحياة S (x) صيغتها كالاتي :

دالة الكثافة الاحتمالة ودالة الاحتمالية : PROBABILITY DENSITY FUNCTION AND PROBABILITY FUNCTION
دالة كثافة الاحتمال ، f (x) ، هي أول معامل مشتق لدالة التوزيع ، F (x) ، فيما يتعلق بـ x (حيثما يوجد هذا المشتق).

بالنسبة لمتغير مستمر معين X ، المنطقة الواقعة تحت منحنى كثافة الاحتمال بين نقطتين xL ، xU في نطاق X تساوي احتمال أن يقع عدد عشوائي غير محقق من X بين xL و xU. يوضح الشكل (5) هذا.


الشكل (6) يوضح العلاقة بين المنطقة الواقعة تحت منحنى الكثافة الاحتمالية والمقدار المعين بواسطة دالة التوزيع العكسي عند قيمة الاحتمال المقابلة. يأخذ المتغير المنفصل قيمًا منفصلة x مع احتمالات محدودة f (x). في هذه الحالة ، f (x) هي دالة الاحتمال ، وتسمى أيضًا دالة كتلة الاحتمال.
التوزيعات المشتركة : JOINT DISTRIBUTIONS
تسمى البيانات الاحتمالية المتعلقة بأكثر من متغير عشوائي بيانات احتمالية مشتركة. يمكن عمل عبارات احتمالية مشتركة حول مجموعة من المتغيرات ، وكلها لها مجال مستمر ، وكلها لها مجال معدود ، أو مزيج من المجالات المستمرة والقابلة للعد. للحفاظ على التاشير إلى الحد الأدنى ، ضع في اعتبارك حالة متغيرين فقط ، X و Y ، ويكون الزوج (X ، Y) متغير ثنائي ، مع الإشارة إلى كل من X و Y بمفردهما على أنهما متغيران وحيدان. في الحالة العامة لأكثر من متغير واحد (بما في ذلك الحالة ثنائية المتغير) ، يشار إلى مجموعة المتغيرات عمومًا على أنها متغيرات متعددة multivariate.
المدى المشترك : Joint Range
لنفترض أن X ، Y هي مجموعة كل أزواج القيم (العدد الحقيقي) التي يمكن أن يتخذها المتغير الثنائي (X ، Y). المجموعة X ، Y هي النطاق المشترك لـ (X ، Y).
ثنائي المتغير Bivariate Quantile
ليكن الزوج ذو القيمة الحقيقية (x ، y) يشير إلى عنصر عام في النطاق المشترك X ، Y. نشير إلى (x ، y) كمقدار ثنائي المتغير لـ (X ، Y).
عبارة الاحتمالية المشتركة: Joint Probability Statement
لنفترض أن Pr[X ≤ x, Y ≤ y] تعني “احتمال أن تكون القيمة المحققة بواسطة المتغير أحادي X أقل من أو تساوي x والقيمة التي تتحقق بواسطة المتغير أحادي Y أقل من أو تساوي y.” في هذه الحالة ، كلا الشرطين X ≤ x و Y ≤ y يتحققان في وقت واحد.
النمذجة العشوائية : Stochastic Modeling
غالبًا ما تسمى الأحداث التي لا يمكن التنبؤ بها بدقة بالعشوائية Stochastic . إن العديد من المدخلات والعمليات التي تحدث في أنظمة الموارد المائية ، إن لم يكن معظمها ، هي إلى حد ما عشوائية. ومن ثم ، فإن المخرجات أو التأثيرات المتوقعة ، وحتى ردود أفعال الناس تجاه تلك المخرجات أو التأثيرات ايضا عشوائية Stochastic . تجاهل هذه العشوائية أو عدم اليقين هو تجاهل الواقع.
هناك طرق عديدة للتعامل مع عدم اليقين uncertainty . يتمثل أحد الأساليب ، وربما أبسطها ، في استبدال كل كمية غير مؤكدة إما بمتوسطها (أي متوسطها أو قيمتها المتوقعة) ، أو متوسطها ، أو بقيمة حرجة (على سبيل المثال ، “أسوأ حالة”) . قد يكون استخدام القيم المتوقعة أو المتوسطة للكميات غير المؤكدة مناسبًا إذا كان عدم اليقين أو الاختلاف في الكمية صغيرًا بشكل معقول ولا يؤثر بشكل حاسم على الأداء.
إذا تم استخدام القيم المتوقعة أو المتوسطة للمعلمات أو المتغيرات غير المؤكدة في نموذج محدد deterministic model ، يمكن للمخطط بعد ذلك تقييم أهمية عدم اليقين عن طريق تحليل الحساسية .
التوقع : Expectation
تسمح معرفة دالة كثافة الاحتمال لمتغير عشوائي مستمر ، أو دالة كتلة الاحتمال لمتغير عشوائي منفصل ، بحساب القيمة المتوقعة لأي دالة للمتغير العشوائي. قد يمثل هذا التوقع متوسط عمق هطول الأمطار أو متوسط درجة الحرارة أو متوسط نقص الطلب أو الفوائد الاقتصادية المتوقعة من تشغيل النظام. إذا كانت (g) دالة ذات قيمة حقيقية لمتغير عشوائي مستمر X ، فإن القيمة المتوقعة لـ g (X) هي:

بينما لمتغير عشوائي منفصل

تقدير المعلمة: Parameter Estimation
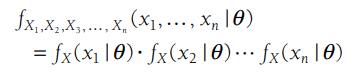
بالنظر إلى مجموعة من المشاهدات التي يجب أن يكون التوزيع مناسبًا لها ، يختار المرء أولاً دالة توزيع لتكون بمثابة نموذج لتوزيع البيانات. قد يعتمد اختيار التوزيع على الخبرة مع البيانات من هذا النوع ، وبعض الفهم للآليات التي تؤدي إلى ظهور البيانات ، و / أو فحص الملاحظات نفسها. يمكن للمرء بعد ذلك تقدير معلمات التوزيع المختار وتحديد ما إذا كان التوزيع المناسب يوفر نموذجًا مقبولًا للبيانات. يعد النموذج عمومًا غير مقبول إذا كان من غير المحتمل أن يكون المرء قد شاهد البيانات المتاحة إذا كانت مستمدة بالفعل من التوزيع المناسب.في كثير من الحالات ، يتم الحصول على تقديرات جيدة لمعلمات التوزيع من خلال إجراء تقدير الامكان الاعظم maximum-likelihood. لتكن مجموعة من المشاهدات المستقلة n {x1،…، xn} لمتغير عشوائي مستمر X ، دالة كثافة الاحتمال المشتركة للمشاهدات هي:

حيث θ هي متجه معاملات التوزيع. الحد الأقصى لمقدر الاحتمالية لـ θ هو ذلك المتجه θ الذي يزيد المعادلة اعلاه إلى أقصى حد وبالتالي يجعل من المحتمل قدر الإمكان مشاهدة القيم {x1،…، xn}.
كفاية النموذج : Model Adequacy
بعد تقدير معلمات التوزيع ، يجب إجراء بعض التحقق من كفاية النموذج. تتنوع هذه الفحوصات من مقارنات بسيطة للمشاهدات مع النموذج المقاس (باستخدام الرسوم البيانية أو الجداول) إلى الاختبارات الإحصائية الدقيقة . كانت بعض الطرق المبكرة والأبسط لتقدير المعلمات عبارة عن تقنيات رسومية. على الرغم من أن التقنيات الكمية تكون بشكل عام أكثر دقة لتقدير المعلمات ، إلا أن العروض الرسومية مهمة لمقارنة التوزيع مع المشاهدات للكشف عن الانحرافات المنهجية أو غير المبررة بين الاثنين.
سيتم رسم البيانات المرصودة كخط مستقيم على ورق الرسم البياني الاحتمالي إذا كان التوزيع المفترض هو التوزيع الحقيقي للمشاهدة. إذا لم تكن ورقة الرسم البياني الاحتمالية موجودة لتوزيع معين للفائدة ، فيمكن استخدام تقنيات أكثر عمومية.
