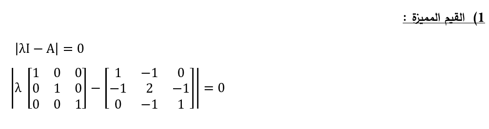
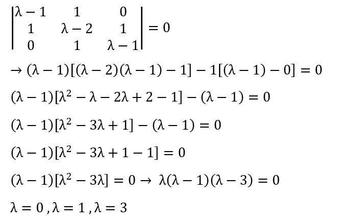
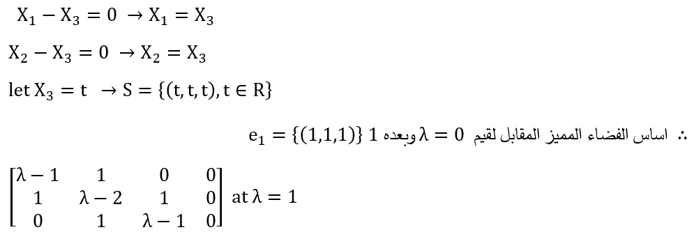
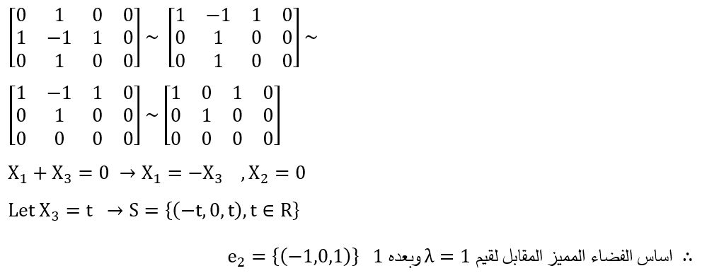
يمكن ايجاد القيمة المميزة والمتجهات المميزة لمصفوفة ذات ابعاد 3 × 3 فما فوق استنادا للعلاقات السابقة لمصفوفة 2 × 2 ، كما يمكن ايجاد العلاقة بين القيمة المميزة والمتجهات المميزة كما في الامثلة الاتية:
مثال (1) :

الحل :












مثال (2) :

الحل :






العلاقة بين القيم المميزة والمتجهات المميزة:
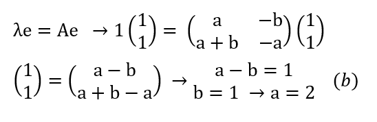
يمكن تلخيص العلاقة بين القيم المميزة (λ) والمتجهات المميزة (e) استنادا للعلاقة الاتية
λe=Ae
اذ إن e المتجه المميز المرافق للقيمة المميزة λ .
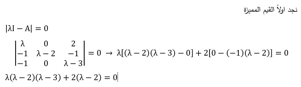
مثال (3) :

الحل :

مثال (4) :

الحل :

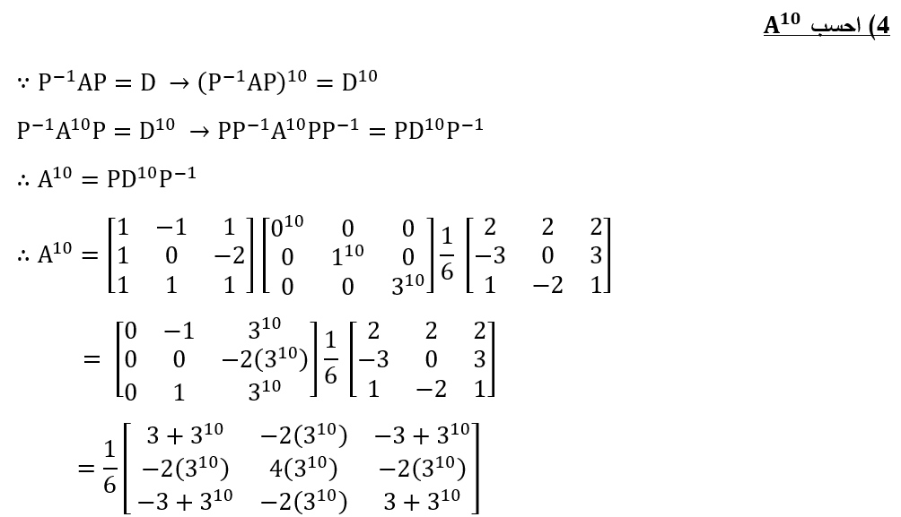
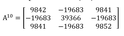
مثال (5) :

الحل :

