التركيبات الخطية والمجموعات المولدة :Linear Combinations and Generated Sets

اولاً: التركيبات الخطية : Linear Combination

ليكن V فضاء متجهات اذ ان v1,v2,…∈V وليكن v∈V، نقول ان v تركيب خطي لـ v1,v2,… اذا وجدت اعداد حقيقية مثل …,α12 تنتمي الى IR بحيث ان … , v=α1 v1, α2 v2

ولغرض اثبات ان التركيب الخطي v للمتجهات v1,v2,… نتبع الخطوات الاتية :

مثال (1) : إذا كانت {v1=(1,-1,0) ,v2=(0,1,1),v3=(2,0,1)} تنتمي الى R3 وكان v=(7,-2,2)∈R3 ، فبين هل v تركيب خطي للمتجهات v1,v2,v3 ؟

الحل : بالاستفادة من القانون، فان :

مثال (2) :

الحل : بالاستفادة من القانون فان :

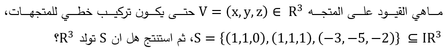
مثال (3) : بين ما إذا كان يمكن كتابة المتجه v=(3,-1,4) ، كتركيب خطي للمتجهات. v1=(1,-1,0),v2=(0,1,1),v3=(3,-5,-2) ؟

الحل : بالاستفادة من القانون

مثال (4) :

الحل : بالاستفادة من القانون :

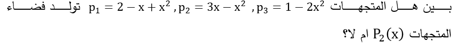
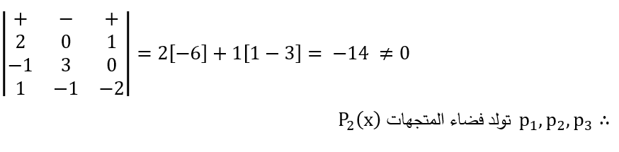
مثال (5) :

الحل: بالاستفادة من القانون

ثانياً: المجموعات المولدة : Generating Groups

مثال (6) :

الحل : بايجاد قيمة المحدد :

مثال (7) :

الحل : بايجاد قيمة المحدد

مثال (8) :

الحل : نجد قيمة المحدد

موضوعات ذات صلة

اترك تعليقاً