يهتم الجبر الخطي بدراسة التحويلات الخطية، والتي تبين تأثير المصفوفات على المتجهات. تُعد القيم الذاتية والمتجهات الذاتية احد خواص المصفوفة، ويتم حسابها بطريقة تعطي معلومات عن المصفوفة ويمكن استعمالها في تفكيك المصفوفة. لهذا النوع تطبيقاته الخاصة في مجالات الرياضيات التطبيقية .
وبشكل عام، تؤثر المصفوفة على المتجه بتغيير كلاً من قيمته واتجاهه. لكن يمكن أن تؤثر المصفوفة على بعض المتجهات بتغيير قيمها مع الإبقاء على اتجاهاتها دون تغيير (أو ربما عكسها). يطل على هذه المتجهات متجهات ذاتية للمصفوفة. اذ تؤثر مصفوفة على متجه ذاتي بضرب قيمته بعامل معيّن، والذي يكون موجباً عندما لايتغير اتجاهه وسالباً اذا انعكس الاتجاه، اذ يمثل هذا العامل القيمة الذاتية المصاحبة لذلك المتجه الذاتي. ويكّون الفضاء الذاتي مجموعة كل المتجهات الذاتية التي لها نفس القيمة الذاتية، معاً ومع المتجه الصفري. بصيغة اخرى، إذا كانت A مصفوفة مربعة الشكل (n x n) ، فإن متجهاً غير صفري (nonzero) مثل x يكون متجها ذاتيا لـ A إذا وجد عدد مثل λ يحقق العلاقة AX=λX . ويسمى العدد λ قيمة ذاتية (eigen value) للمصفوفة A التي تقابل المتجه الذاتي (eigen vector) لـ x .
القيم الذاتية (المميزة) والمتجهات الذاتية (المميزة) : Eigenvalues and eigenvectors :


6-2 قابلية المصفوفة للاستقطار :Capability Matrix A for Diagonalization

مثال (1) :

الحل :





مثال (2) :

الحل:









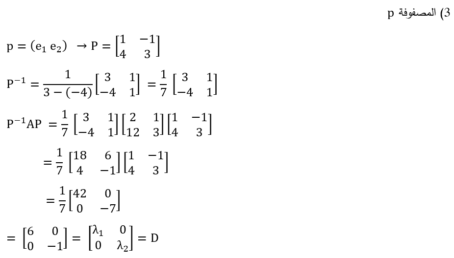
مثال (3) :

الحل :





مبرهنات الاستقطار : Diagonalization Theorem

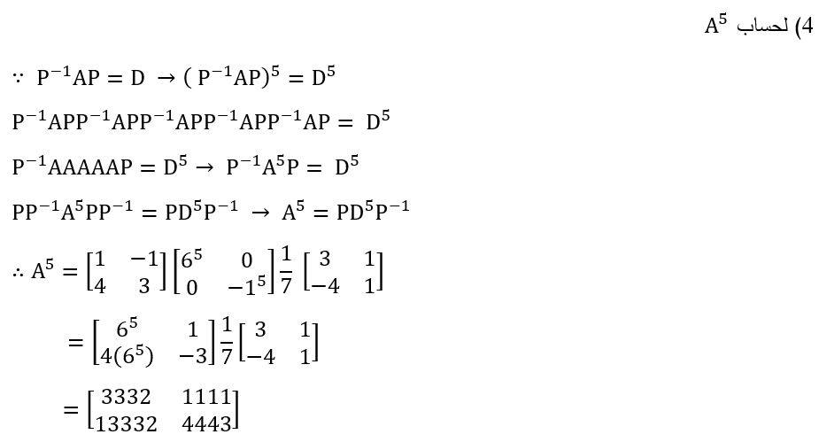
مثال (4) :

الحل :

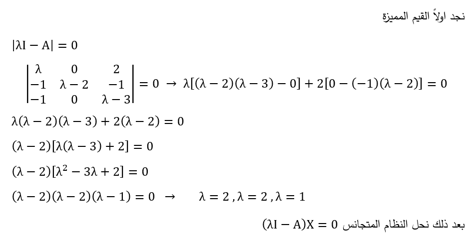
مثال (5) :

الحل :

