أصبحت إحصاءات بيز أكثر شيوعًا في العديد من المجالات العلمية. ، على سبيل المثال ، المراجعات المنهجية المنشورة في مجالات مختلفة من العلوم التربوية (König & Van de Schoot ، 2017) ، وعلم الأوبئة (Rietbergen ، Debray ، Klugkist ، Janssen ، & Moons ، 2017) ، التكنولوجيا الصحية (Spieghallter، Myles، Jones، & Abrams ، 2000) ، والطب (Ashby ، 2006) ، وعلم النفس (Van de Schoot، Winter، Ryan، Zondervan Zwijnenburg، & Depaoli، 2017) إلى علم الصدمات النفسية (Van de Schoot، Schalken، & Olff، 2017). تناسب طرائق بيز للباحثين الذين لديهم فقط إمكانية الوصول إلى عدد صغير نسبيًا من المشاهدات لأنها لا تعتمد إلى عينات كبيرة (أي نظرية الحد المركزي) وبالتالي قد تؤدي إلى نتائج معقولة حتى مع أحجام العينات الصغيرة إلى المتوسطة. هذا هو الحال بشكل خاص عندما تتوفر المعرفة السابقة . بشكل عام ، اذ كلما زادت المعلومات التي يمكن للباحث تحديدها قبل تحديد البيانات ، قل حجم العينة المطلوب الحصول على نفس حالة التأكد مقارنة بالتحليل دون تحديد أي معرفة مسبقة.
تعتمد إحصاءة بيز على نظرية بيز من خلال تحديث الافتراضات الاولية (السابقة) بمعلومات البيانات الجديدة:

حيث تشير المعادلة اعلاه إلى مجموعة من المعلمات (على سبيل المثال ، معاملات الانحدار) ، p(θ|data) هي التوزيع اللاحق للمعلمات ، والتي تم الحصول عليها عن طريق تحديث التوزيع السابق للمعلمات p (θ) ، مع تمثيل البيانات المشاهدة بواسطة دالة الاحتمال ،p(data|θ) . المصطلح p(data) هو الاحتمال المشترك للبيانات التي يمكن اعتبارها ثابت طبيعي وتضمن أن تكامل التوزيع اللاحق يساوي (1) . كما يوضح الجانب الأيمن من المعادلة اعلاه ، فإن استبعاد هذا الحد ينتج عنه نتيجة متناسبة للتوزيع اللاحق.
اساس نظرية بيز من قوانين الاحتمالات الشرطية ، وهي قوانين واضحة . العناصر المثيرة للجدل المحيطة بإحصاءات بيز هي عند تحليل بيز القبول بمتطلبات تحديد التوزيع السابق ، ويتم ذلك بمجرد أن يختار الباحث استخدام الاستدلال البيزي وكيفية تحديد التوزيع السابق p (θ) .
إطار عمل بيز ، تبدا عندما يختار الباحث التحليل بتحديد توزيع سابق لـ μ (متوسط المجتمع). عند تحديد توزيع مسبق ، يتعين على الباحثين تحديد شكل توزيع (مثل التوزيع الطبيعي ، توزيع t او توزيع بيتا) ، وتحديد معلمات التوزيع السابق ، وتعرف باسم المعلمات العليا hyperparameters.
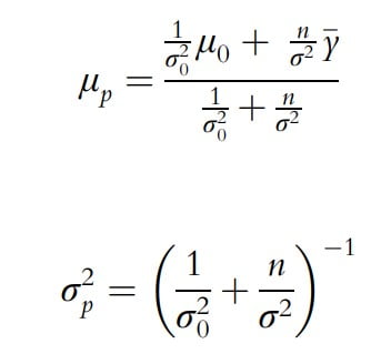
الاختيار الشائع للتوزيع السابق لمتوسط المجتمع μ هو التوزيع الطبيعي ، والذي يتم وصفه بالمتوسط السابق (μ0) والتباين السابق (σ20) أو الانحراف المعياري السابق (σ0) أو المعلمة الضابطة (τ20) وهي المعلمات العليا. قد يعرف متوسط المعلمة العليا(μ0) على أنها ترميز أفضل تخمين للباحث حول متوسط المجتمع الذي يتم تقديره ، ويحفظ معامل التباين الاعلى(σ20) المعلوماتية (أو عدم اليقين) للتوزيع السابق.كلما كان معامل التباين أصغر ، كلما كان التوزيع السابق أكثر إفادة ، وزاد اهميته في التحليل.
عملياً ، لتوضيح ماورد اعلاه يتم من خلال الشكل التالي ، اذ نلاحظ ثلاث حالات مختلفة: الشكل A يمثل تحليلًا بحجم عينة من 20 مشاهدة من مجتمع حيث يكون المتوسط 100 ، والانحراف المعياري هو 15 ؛ يمثل الشكل B التحليل لعينة من 50 مشاهدة من نفس المجتمع ويمثل الشكل “C” التحليل لعينة من 200 مشاهدة من نفس المجتمع.

التوزيع السابق هو نفسه في جميع التحليلات الثلاثة. لاحظ كيف أن دالة كثافة التوزيع اللاحق “تتحرك” أقرب إلى دالة الاحتمال مع زيادة حجم العينة من 20 إلى 200. هذا المثال له تفسير تحليلي. أي وفقًا للمواصفات الموضحة للتو ، فإن p(μ|y) اللاحق له شكل معروف. يمكن إثباته (Gelman et al. ، 2013) اذ أن p(μ|y) اللاحق هو توزيع طبيعي بمتوسط وتباين لاحق:

حيث تشير μ0 إلى متوسط التوزيع السابق الطبيعي ، وتشير y إلى المتوسط المشاهدة في العينة ، و n هو حجم العينة ، و σ20 هو التباين اللاحق في السابق ، و σ2 هو التباين في العينة المشاهدة . كل من التوزيعات السابقة واللاحقة هي توزيعات طبيعية ؛ هذه هي الحالة لأن التوزيع المسبق الطبيعي هو مترافق سابق للمعامل المتوسط. جميع التوزيعات السابقة المقترنة ، عند ضربها في دالة الاحتمال ، تؤدي إلى توزيعات لاحقة من نفس عائلة التوزيع الاحتمالي .
تقدير بيز Bayesian Estimation
من المهم تقدير متوسط مجموعة سكانية ذات تباين معروف ، من الممكن الحصول على التوزيع اللاحق تحليليًا. ومع ذلك ، فإن معظم النماذج الإحصائية في العلوم الاجتماعية أكثر تعقيدًا ، ولا يمكن الحصول على التوزيع اللاحق بشكل تحليلي. في هذه الحالات ، يتم الحصول على النتائج بالتقريب التدريجي للتوزيع اللاحق باستخدام Markov Chain Monte Carlo (MCMC؛ Brooks، Gelman، Jones، & Meng، 2011). MCMC وهو إجراء تكراري ، مثل الامكان الاعظم (ML). ومع ذلك ، على عكس ML ، الذي يسعى إلى تعظيم دالة الاحتمال ، يبدو أن MCMC يقارب التوزيع اللاحق بأكمله. يوضح الشكل 1.2 تقريبًا للجزء اللاحق لنفس التحليل كما في الشكل A من الشكل السابق الذي تم الحصول عليه باستخدام MCMC بدلاً من استخدام الحل التحليلي ؛ لاحظ أن التوزيع لم يعد بسيطاً لأنه تقريب للجزء اللاحق .
الجوانب العملية التي ينطوي عليها استخدام MCMC لتحليلات بيز . MCMC ينتج من خلال محاكاة القيم من التوزيعات بحيث عند اخذ اللوغاريتم يمكن اعتبار القيم مستمدة من التوزيع اللاحق ، اذ ستتقارب السلسلة التي تم إنشاؤها بشكل صحيح في النهاية إلى النقطة التي يمكن فيها رؤية قيم المحاكاة اللاحقة على أنها عينات من الجزء اللاحق؛ ومع ذلك ، ليس هناك ما يضمن متى سيحدث ذلك. على الرغم من عدم وجود طريقة محددة أن السلسلة قد تقاربت إلى التوزيع اللاحق ، إلا أن هناك العديد من التقنيات التي يمكن للمرء استخدامها للعثور على دليل هذا التقارب (Cowles & Carlin ، 1996).وهذا يعني أن الاحتمالات السابقة يتم تحديثها من خلال عملية تكرارية لجمع البيانات.
قاعدة بيز واختبار التشخيص Bayes’ Rule and Diagnostic Testing
لفهم الاحتمالات الشرطية وأهميتها بشكل أفضل ، نستعرض المثال الاتي الذي يتعلق بفيروس نقص المناعة البشرية (HIV) والذي اكتشف في أوائل الثمانينيات واخذ بالانتشار بسرعة. أضافة لعدم وجود علاج فانه يوجد اشتباه كبير بشأن سلامة نقل الدم . اذ ان تشخيص فيروس نقص المناعة البشرية يعد حكمًا بالإعدام ، بالإضافة إلى وصمة العار المرتبطة بالمرض.
النتائج الايجابية الكاذبة والنتيجة السلبية الكاذبة جعلت في اختبار فيروس نقص المناعة البشرية غير مرغوب فيها للغاية. النتيجة الإيجابية يحتمل ان تكون سلبية في الحقيقية . قد يكون هذا على سبيل المثال أن شخصًا غير مصاب بفيروس نقص المناعة البشرية يتم تشخيصه بشكل خاطئ بفيروس نقص المناعة البشرية ، اما النتيجة السلبية يحتمل ان تكون ايجابية . يحدث هذا عندما يخضع شخص مصاب بفيروس نقص المناعة البشرية لاختبار فيروس نقص المناعة البشرية الذي يأتي بنتائج سلبية بشكل خاطئ. هذا الأخير يشكل تهديدًا لتزويد نقل الدم إذا كان هذا الشخص على وشك التبرع بالدم.
يسمى احتمال وجود إيجابية كاذبة إذا كانت الحقيقة سلبية بالمعدل الإيجابي الكاذب. وبالمثل ، فإن المعدل السلبي الخاطئ هو احتمال وجود سلبي كاذب إذا كانت الحقيقة إيجابية. لاحظ أن كلا المعدّلين عبارة عن احتمالات مشروطة: المعدل الإيجابي الخاطئ لاختبار فيروس نقص المناعة البشرية هو احتمال وجود نتيجة إيجابية مشروطة بعدم إصابة الشخص الذي تم اختباره بفيروس نقص المناعة البشرية.
ان اختبار فيروس نقص المناعة البشرية الذي يعد مقياس تشخيص المناعي المرتبط بالإنزيم ، والمعروف باسم ELISA. في حال نرغب بدراسة احتمالية إصابة شخص ما بفيروس نقص المناعة البشرية إذا كانت نتيجة اختبار ELISA إيجابية. لهذا ، نحن بحاجة إلى المعلومات التالية. يتم تقدير المعدل الإيجابي الحقيقي لـ ELISA (واحد مطروحًا منه المعدل السلبي الخاطئ) ، والذي يشار إليه أيضًا بالحساسية أو الاسترجاع أو احتمال الكشف، ويقدر من خلال الاحتمال:
P(ELISA is positive ∣ Person tested has HIV)=93%=0.93.
يتم تقدير معدلها السلبي الحقيقي (واحد مطروحًا منه المعدل الإيجابي الخاطئ) ، والذي يشار إليه أيضًا بالخصوصية ، على أنه
P(ELISA is negative ∣ Person tested has no HIV)=99%=0.99.
يرتبط أيضًا سؤالنا بانتشار فيروس نقص المناعة البشرية في إجمالي السكان على سبيل المثال لو اخذنا بلد مثل امريكا ، يقدر بـ 1.48 من بين كل 1000 بالغ . لذلك نحن نفترض

الأرقام المذكورة أعلاه هي تقديرات. ومع ذلك ، من أجل التحليل الاحصائي ، سوف نتعامل معها كما لو كانت حقيقية. هدفنا هو حساب احتمال الإصابة بفيروس نقص المناعة البشرية إذا كانت نتيجة اختبار ELISA إيجابية اي
P(Person tested has HIV∣ELISA is positive)
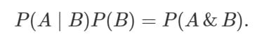
قانون بيز ينص على

لكي تكون نتيجة اختبار شخص ما إيجابية وأن يكون مصابًا بفيروس نقص المناعة البشرية ، يجب أولاً أن يكون هذا الشخص مصابًا بفيروس نقص المناعة البشرية ثانيًا يكون الاختبار إيجابيًا. وكالاتي
P(HIV positive)=0.00148
احتمالية أن تكون النتيجة إيجابية بعد ذلك
P(ELISA is positive ∣ Person tested has HIV)=0.93
المعدل الإيجابي الحقيقي. يستخرج من خلال قيمة البسط


يتم تعويض الخطوة الأولى في المعادلة أعلاه في قانون بيز : بضرب الجانب الأيسر والأيمن من قانون بيز

يمكن فك المقام في (قانون بيز) على النحو التالي

بالتعويض باحتمال ان الشخص غير مصاب ونتيجة الاختبار موجبة كالاتي :

بالتعويض في (قانون بيز ) نحصل على :

السؤال الذي اجبنا عليه(ما هو احتمال الإصابة بمرض إذا كانت نتيجة الاختبار إيجابية؟) يعد ضرورياً لإجراء التشخيصات الطبية. كما ذكرنا سابقاً فإن المعدلات الإيجابية والسلبية الحقيقية للاختبار وحدها لاتكفي للكشف عن الحالة المرضية الكاملة ، ولكن انتشار المرض يلعب دورًا أيضًا. قانون بيز هي أداة لتجميع هذه الأرقام في احتمالية أكثر فائدة للإصابة بمرض بعد ظهور نتيجة الاختبار.
وللاجابة على السؤال ما هو احتمال أن الشخص الذي تكون نتيجة اختباره إيجابيًا ليس مصابًا بالفعل بفيروس نقص المناعة البشرية؟ وجدنا في السؤال الاول أن الشخص الذي ثبتت نتيجة الاختبار موجبة ايضا لديه احتمال الاصابة 0.12 للإصابة بفيروس نقص المناعة البشرية. هذا يعني أن نفس الشخص لديه احتمال 1−0.12 = 0.88 ألا يكون مصابًا بفيروس نقص المناعة البشرية ، على الرغم من أن الاختبار إيجابي.(1)
