المتغير العشوائي هو متغير يأخذ قيمًا محددة مع احتمالات محددة. يمكن اعتباره متغيرًا تعتمد قيمته على نتيجة حدث غير مؤكد Uncertain Event.
عادة ما يشار إلى المتغيرات العشوائية بأحرف كبيرة وتقع نهاية الاحرف الابجدية الانكليزية ؛ على سبيل المثال ، X ، Y ، Z و يرمز لقيم هذه المتغيرات بالاحرف الابجدية الصغيرة x , y , z .
مثال على ذلك: لنفترض أن X هي نتيجة رمي نرد . X هو متغير عشوائي. القيمة المحتملة لـ X هي ظهور 1 و 2 و 3 و 4 و 5 و 6 ؛ كل من هذه القيم المحتملة لها احتمال 1/6.
لا تعني كلمة “عشوائي” في مصطلح “متغير عشوائي” بالضرورة أن النتيجة عشوائية تمامًا بمعنى أن جميع القيم متساوية في الاحتمال. قد تكون بعض القيم أكثر ترجيحًا من غيرها ؛ تعني كلمة “عشوائي” ببساطة أن القيمة غير مؤكدة.
عندما تفكر في متغير عشوائي ، اسأل نفسك على الفور
• ما هي القيم الممكنة (الممكن ظهورها)؟
• ما هي احتمالاتهم (احتمال ظهور تلك القيمة)؟
مثال: لنفترض أن Y هو مجموع رمي زهري نرد لمرة واحدة .
القيم الممكنة: {2، 3، 4، …، 12}.
احتمالاتهم: 2 لديه احتمال 1/36 ، 3 لديه احتمال 2/36 ، 4 لديه احتمال 3/36 ، وما إلى ذلك (النقطة المهمة هنا ليست الاحتمالات نفسها ، بل حقيقة أنه يمكن تعيين مثل هذا الاحتمال إلى كل قيمة ممكنة.)
الاحتمالات المخصصة للقيم المحتملة لمتغير عشوائي هي توزيعها. يصف التوزيع متغيرًا عشوائيًا تمامًا.
تصنيف المتغير العشوائي Random Variable Classification
المتغيرات العشوائية تصنف وفقاً لنوع الظاهرة المدروسة, فاذا كانت قابلة للعد مثل (عدد مجموعة من الطلاب ) او غير قابلة للعد مثل (اطوال او اعمار مجموعة من الطلاب)
واستناداً لذلك يجب ان نميز بين مفهومين:
1- الفضاء المنفصل (المتقطع) : ويقصد به فضاء العينة الذي يحتوي على عدد منته من النقاط او عدد غير منته لكن يكون قابل للعد .
2- الفضاء المستمر (المتصل) :ويقصد به فضاء العينة الذي يحتوي على عدد غير منتهي من النقاط او عدد غير منتهي من النقاط وغير قابل للعد.
وعليه يمكن ان يصنف المتغير العشوائي وفقا لفضاء العينة الى :
المتغير العشوائي المنفصل (المتقطع) : وهو المتغير العشوائي الذي يمتلك فضاء عينة منفصل اي إذا كان يحتوي على عدد لا يحصى من القيم القابلة للعد . على سبيل المثال ، إذا كانت القيم المحتملة للمتغير العشوائي هي أي مما يلي:
• {1 ، 2 ، 3 ، … ،}
• {…، −2، −1، 0، 1، 2، …}
• {0 ، 2 ، 4 ، 6 ، …}
• {0 ، 0.5 ، 1.0 ، 1.5 ، 2.0 ، …}
• أي مجموعة محدودة
عندها المتغير العشوائي هو منفصل Discrete .
المتغير العشوائي المتصل (المستمر) : وهو المتغير العشوائي الذي يمتلك فضاء عينة متصل اي يحتوي على عدد لايحصى وغير قابل للعد على سبيل المثال اذا كانت القيم المحتملة للمتغير العشوائي هي أي من هذه الاعداد:
• جميع الأرقام بين 0 و ∞
• جميع الأرقام بين – ∞ و ∞
• جميع الأرقام بين 0 و 1
عندها المتغير العشوائي يطلق عليه مستمر (Continues) . في بعض الأحيان ، يتم تقريب المتغير العشوائي المنفصل بمتغير مستمر إذا كانت القيم المحتملة قريبة جدًا من بعضها ؛ على سبيل المثال ، اسعار الأسهم غالبًا ما يتم التعامل معها كمتغيرات عشوائية مستمرة.

وكأمثلة للظواهر المدروسة في البحوث التطبيقية يمكن نمذجة المتغير العشوائي كالاتي:
نمذجة الكميات التالية كمتغيرات عشوائية منفصلة:
• عدد العيوب في دفعة مكونة من 20 مفردة.
• عدد الأشخاص الذين يفضلون علامة تجارية على أخرى في دراسة بحثية للسوق.
• التصنيف الائتماني لإصدار دين في تاريخ ما في المستقبل.
نمذجة الكميات التالية كمتغيرات عشوائية مستمرة:
• العائد على سندات الخزانة لمدة 10 سنوات بعد ثلاث سنوات من تاريخ اليوم.
• نسبة العيوب في دفعة من 10000 وحدة.
• الوقت بين أعطال الماكنة.
التوزيع الاحتمالي Probability Distribution
التوزيع الاحتمالي هو توصيف specification (في شكل رسم بياني أو جدول أو دالة) للاحتمال المرتبط بكل قيمة للمتغير العشوائي. وبناءاً لما تم ذكره اعلاه من انواع المتغير العشوائي يتم تصنيف التوزيعات الاحتمالية حسب نوع المتغير العشوائي الى نوعين :
1-التوزيع الاحتمالي المتقطع The Probability Mass Function:
توزيع احتمالي يتضمن قيمًا منفصلة فقط لـلمتغير العشوائي المتقطع X. بيانياً ، يتم توضيح ذلك من خلال رسم بياني يحتوي فيه المحور x على القيم المختلفة الممكنة لـ X ، بينما يحتوي المحور Y على القيم المحتملة المختلفة لـ P (x). وهي كالاتي :
0 ≤ P(X = x) ≤ 1
Σ P(X = x) = 1
اي القاعدة تعيين احتمالات محددة لقيم محددة لمتغير عشوائي منفصل تسمى دالة الكتلة الاحتمالية أو the probability mass function(pmf). إذا كان X متغيرًا عشوائيًا منفصلاً ، فإننا نشير إلى pmf بواسطة PX. لأي قيمة ، P (X = x) هو احتمال الحدث أن X = x ؛ بمعنى آخر
P(X = x) = probability that the value of X is x.

كما يمكن تعريف التوزيع الاحتمالي المتقطع على انه شكل دالة رياضية او جدول نعوض به القيم التي يمكن ان يأخذها المتغير العشوائي ومقابل كل قيمة من هذه القيم نضع احتمال تحقق هذه القيمة . كما موضح ادناه :

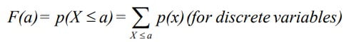
دالة التوزيع التراكمي Cumulative Distribution Function: او cdf احتمالية أن يأخذ متغير عشوائي X قيمة أقل من أو تساوي قيمة معينة يتم كتابتها غالبًا على أنها

مثال عن التوزيع المتقطع والمتغير العشوائي المتقطع في الرابط المقالة
2-التوزيع الاحتمال المستمر (المتصل)
لا يمكن تحديد توزيع المتغير العشوائي المستمر من خلال دالة الكتلة الاحتمالية (pmf) لأنه إذا كانت X مستمرة ، فإن P (X = x) = 0 لكل x ؛ أي أن احتمال أي قيمة معينة هو صفر. بدلاً من ذلك ، يجب أن ننظر إلى احتمالات مجال Range القيم.
بشكل عام ، بالنسبة للمتغيرات العشوائية المستمرة ، يمكن اعتبار حدوث أي قيمة صحيحة لـ X على أنه احتمال صفري. لهذا السبب ، لا يناقش المرء عادة الاحتمال بحد ذاته لقيمة متغير عشوائي مستمر. بدلاً من احتمال أن تأخذ X بعض القيمة لـ a ، فإننا نتعامل مع ما يسمى بالكثافة الاحتمالية Probability Density لـ X عند a ، والتي يرمز إليها بـ
f(a)= probability density of X at a

يتم تحديد احتمالات مجال قيم المتغير العشوائي المستمر بواسطة دالة الكثافة. يتم الإشارة إلى كثافة X بواسطة fX. دائمًا ما تكون المنطقة الواقعة تحت الكثافة تساوي 1. احتمال وقوع X بين النقطتين a و b هو المنطقة الواقعة تحت fX بين النقطتين a و b. المنحنى الطبيعي على شكل جرس هو مثال للكثافة.
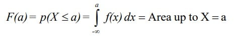
دالة التوزيع التراكمي Cumulative Distribution Function: أو cdf احتمال أن يأخذ متغير عشوائي X قيمًا أقل من أو تساوي قيمة معينة x. على وجه التحديد ، cdf الخاص بـ X ، المشار إليه بواسطة FX ، هو


يمكن إيجاد احتمال أن يأخذ المتغير العشوائي المستمر أي قيمة بين الحدين a و b من خلال:
p(a ≤ X ≤ b)= F(b)- F(a)
يمكن ملاحظة ذلك بسهولة إذا تم تذكر أن F (b) هو احتمال أن X تأخذ القيمة b أو أقل ، F(a) هو احتمال أن X يأخذ القيمة a أو أقل ؛ يجب أن يكون الاختلاف بينهما هو احتمال وجود قيمة بين a و b.

التوقع للمتغير العشوائي Expectation of Random Variables
يتم الإشارة إلى القيمة المتوقعة لمتغير عشوائي بواسطة E [X]. يمكن اعتبار القيمة المتوقعة على أنها القيمة “المتوسطة” التي حققها المتغير العشوائي ؛ في الواقع ، تسمى القيمة المتوقعة للمتغير العشوائي أيضًا متوسطها ، وفي هذه الحالة نستخدم الترميز µx. (µ هو الحرف اليوناني mu.)
1-صيغة القيمة المتوقعة لمتغير عشوائي منفصل هي كما يلي:

ويعني ذلك ، القيمة المتوقعة هي مجموع جميع القيم الممكنة لـ x مضروبًا في احتمالها P(X = x). مثال: القيمة المتوقعة لرمي النرد هي:

لاحظ أن القيمة المتوقعة ليست من النتائج المحتملة: لا يمكنك رمي 3.5. ومع ذلك ، إذا كنت اردنا متوسط نتائج عدد كبير من الرميات ، فإن النتيجة تقترب من 3.5.(حسب نظرية الحد المركزية)
ولتحديد القيمة المتوقعة لدالة المتغير العشوائي. إذا كانت g دالة (على سبيل المثال ، g(x) = x2) ، فإن القيمة المتوقعة لـ g (X) هي:

على سبيل المثال :

يجب ملاحظة ان E [g (X)] ليست هي نفسها g (E [X]). وان ، E [X2] ليست هي نفسها 2(E [X]).
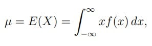
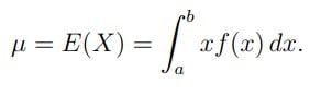
2-صيغة القيمة المتوقعة لمتغير عشوائي متصل يتم حسابها كالاتي

اذ ان f (x) هي دالة كثافة الاحتمال لـ X. إذا كانت f (x) تساوي 0 خارج الفترة المغلقة [a ، b] ، فإن التكامل هو نفسه

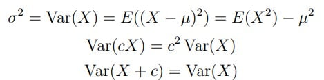
يُشار إلى تباين المتغير العشوائي X إما بواسطة Var [X] أو σ2x. (σ هو الحرف اليوناني سيجما.) وهو يناسب لكل من المتغيرات العشوائية المنفصلة والمستمرة

وتمثل القيمة المتوقعة لمربع الفرق بين X ووسطها الحسابي . كما يمكن ان نشتق كل من العلاقات الاتية من التباين :

الانحراف المعياري للمتغير العشوائي هو الجذر التربيعي لتباينه ويُرمز إليه بـ σx. بشكل عام ، كلما زاد الانحراف المعياري ، زاد تفاوت القيم المحتملة للمتغير العشوائي.
قاعدة Chebyshev : في الواقع ، هناك قاعدة تسمى Chebyshev للمتغيرات العشوائية تنص : إذا كانت m> 1 ، فإن احتمال أن يقع X ضمن الانحرافات المعيارية لمتوسطه يكون على الأقل 1 − (1/m2);اي ان ،

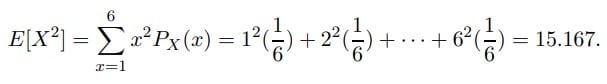
لايجاد التباين والانحراف المعياري لرمي زهر النرد الواحد. الحل: نستخدم الصيغة
Var [X] = E [X2] – (E [X])2. وجدنا سابقًا أن E [X] = 3.5 ، لذا علينا الآن إيجاد E [X2]. كالاتي :

X = Var[X] = E[X2] − (E[X])2 = 15.167 − (3.5)2 = 2.917
اما الانحراف المعياري

المصادر
Expectation and variance for continuous random variables Math 217 Probability and Statistics (1)
Probability distributions(2)
Random Variables, Distributions, and Expected Value(3)
