فكرة المعكوس Inverse هي اي عملية حسابية في الرياضيات مثل وجود عددين حقيقيين مثل a و b هما مقلوبان مضافان (أو متضادان) إذا وفقط إذا كان a + b = 0. على سبيل المثال العددين ، 7.3 و –7.3 مقلوبان مضافان. مجموعهما المعاكس الجمعي هو 0 ، يطلق على (0) الوحدة التجميعية Additive Identity. او اي رقمان حقيقيان مثل a و b هما معكوسان ضربيان (أو مقلوبان) إذا وفقط إذا كان ab = 1. على سبيل المثال ، 1/ π و π هما معكوسان ضربيان . حاصل ضرب اثنين من المعاكسين الضربيين هو 1 ، يطلق على (1) الوحدة الضربية Multiplicative Identity .
يتبع تعريف معكوس المصفوفات تحت الضرب نفس فكرة المقلوب المذكورة أعلاه. تسمى المصفوفتان A و B من الرتبة 2 × 2 مصفوفات معكوسة إذا وفقط إذا كان حاصل ضربهما هو مصفوفة وحدة Identity Matrix 2 × 2 من أجل الضرب ، أي إذا وفقط إذا

نظرًا لأن ضرب المصفوفات ليس تبادليًا ، فإن تعريف معكوس المصفوفات يتطلب أن يكون الناتج من نفس مرتبتي الضرب . لكي يتم ضربها في كلا الاتجاهين ، يجب أن تكون المصفوفات عبارة عن مصفوفات مربعة ، تلك التي لها نفس عدد الصفوف والأعمدة.
لذلك يمكن أن يكون هناك معكوس مصفوفات 3 × 3 ومعكوس مصفوفات 4 × 4 وهكذا. لكن لا يمكن أن يكون هناك معكوس مصفوفات 2 × 3. علاوة على ذلك ، كما سترى ، ليست كل المصفوفات المربعة قابلة للعكس (لها مقلوب).
ولايجاد معكوس المصفوفة توجد طرائق مختلفة سنذكر منها الاكثر استعمالاً وهي
أولاً : طريقة العمليات الاولية الصفية (R.E.F) (الاختزال)
ثانياً : طريقة القانون او استعمال المصفوفة المرافقة The Adjoint of Matrix
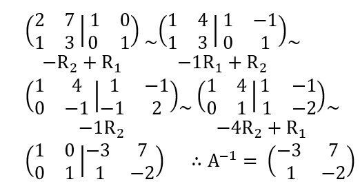
أولاً : طريقة العمليات الاولية الصفية (R.R.E.F) (الاختزال)
تستند هذه الطريقة على تحويل المصفوفة A الى الصيغة الاتية :

كما في المثال الاتي :
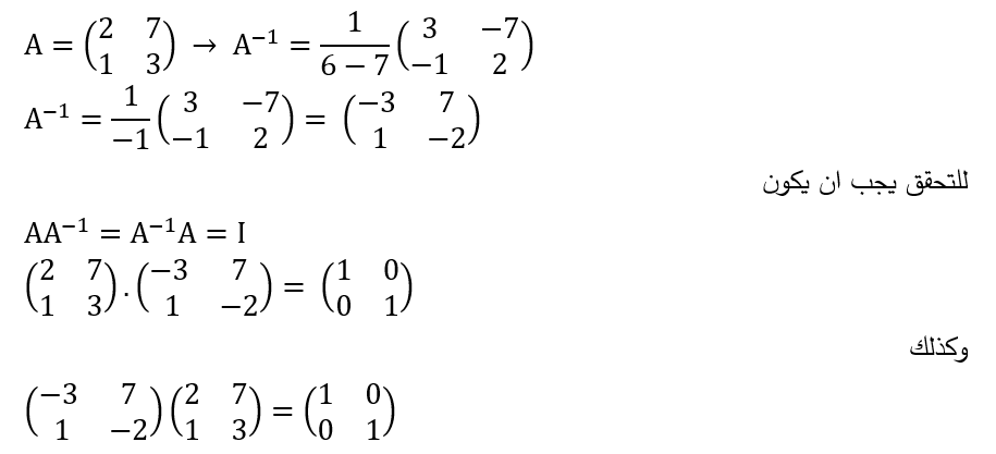
مثال(1) : معكوس المصفوفة A باستعمال r.r.e.f هي :


مثال (2) : معكوس المصفوفة A باستعمال طريقة r.r.e.f هي :


مثال (3) : معكوس المصفوفة A باستعمال طريقة r.r.e.f هي :


ثانياً : طريقة القانون او المصفوفة المرافقة The Adjoint of Matrix
تعتمد هذه الطريقة على اسعمال القانون الاتي :

مثال (4) : معكوس المصفوفة A بطريقة القانون هي :


مثال (5) : معكوس المصفوفة A باستعمال طريقة القانون هو :



خواص معكوس المصفوفة Inverse of Matrix Properties
لمعكوس المصفوفة المربعة مثل A عدة خصائص نذكر منها :

امثلة متنوعة :
مثال (6) : اذا كانت لديك المعلومات الاتية ، جد المصفوفة B ؟


مثال (7) : جد المصفوفة المربعة من الرتبة الثانية للمصفوفة A اذا علمت ان :

الحل :

اذاً فان المصفوفة A تساوي :

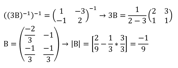
مثال (8) : اذا كانت لديك المعلومات الاتية فاحسب |B|

الحل :

مثال (10) : اذا كانت A مصفوفة مربعة من الدرجة الثالثة وكان A|=3 |، فإحسب |5A2 At | ؟
الحل :

مثال (11): اذا كانت A و B مصفوفتان من الدرجة الثالثة وكانA|=3 , |B|=-2 | فإحسب |2ABAt B-3 |؟
الحل :

مثال (12) : اذا كانت A و B مصفوفتان من الدرجة الثالثة وكان A|=-2 |و Bt |=4| فإحسب
|2A-2 (3BAt)-1) | ؟
الحل :


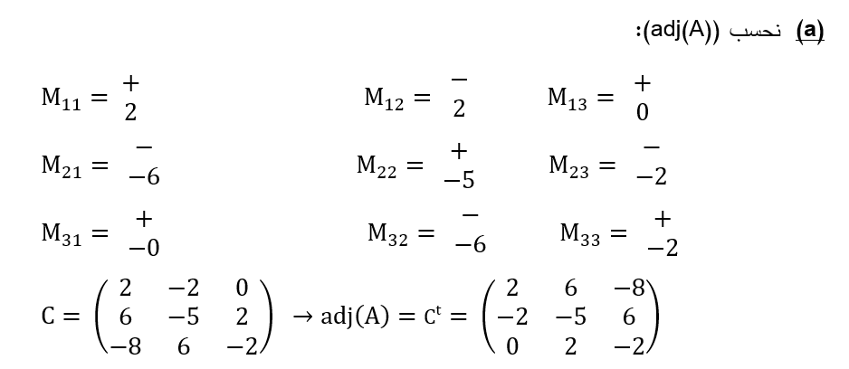
مثال (13) : لتكن المصفوفة A هي :

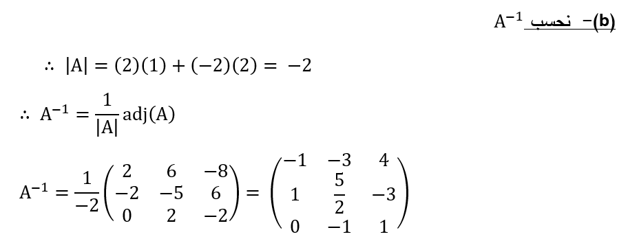
– احسب adj(A) – احسب A-1 باستخدام صيغة القانون ؟




مثال (14) : اذا كانت A مصفوفة من الدرجة الثانية وكانت (A= 3adj(A)) فاثبت ان A ليس لها معكوس ؟
الحل :لإثبات ان A ليس لها معكوس يجب اثبات A|=0|

لتحميل المحاضرة اضغط على زر التحميل ادناه
