الإحصاء هو العلم الذي يتم من خلاله إجراء استنتاجات حول ظواهر عشوائية محددة على أساس مشاهدات عينة محدودة نسبيًا. يحتوي مجال الإحصاء على مجالين رئيسيين: الإحصاء الرياضي والإحصاء التطبيقي. تتعلق الإحصاءات الرياضية بتطوير طرق جديدة للاستدلال الإحصائي وتتطلب معرفة مفصلة بالرياضيات المجردة من أجل تنفيذها. تتضمن الإحصائيات التطبيقية تطبيق أساليب الإحصاء الرياضي على مجالات موضوعية محددة ، مثل الاقتصاد وعلم النفس والصحة العامة. الإحصاء الحيوي هو فرع الإحصاء التطبيقي الذي يطبق الأساليب الإحصائية على المشكلات الطبية والبيولوجية. بالطبع ، تتداخل مجالات الإحصاء هذه إلى حد ما. على سبيل المثال ، في بعض الحالات ، في ظل تطبيق معين للإحصاء الحيوي ، لا تنطبق الطرق القياسية ويجب تعديلها. في هذه الحالة، يشارك الإحصائيون الحيويون في تطوير طرائق جديدة.
بالتالي فأن الإحصاء الحيوي هو العلم الذي يتعامل مع تطوير وتطبيق الأساليب الملائمة من أجل:
جمع البيانات.
عرض البيانات التي تم جمعها.
تحليل وتفسير النتائج.
اتخاذ القرارات على أساس هذا التحليل.
لذلك ، عند تطبيق طرائق إحصائية مختلفة في البيانات البيولوجية والطبية والصحية العامة ، فإنها تشكل تخصص الإحصاء الحيوي. الخصائص المختلفة التي تأخذ قيمًا مختلفة في الأشخاص والأماكن والأشياء المختلفة ، أو الخصائص التي نرغب في ملاحظتها من قبل أعضاء مجموعة (عينة) تختلف عن بعضها البعض تسمى “المتغيرات” في الإحصاء. جميع المعلومات المتعلقة بجميع المتغيرات في الدراسة تسمى البيانات. هناك نوعان رئيسيان من البيانات:
- المتغير النوعي Qualitative variable: هو متغير أو خاصية لا يمكن قياسها في شكل كمي ولكن يمكن تحديدها بالاسم أو الفئات ، على سبيل المثال ، مكان الميلاد ، والمجموعة العرقية ، ونوع الدواء ، ومراحل سرطان الثدي (الأول ، الثاني ، الثالث ، أو الرابع) ، درجة الألم (خفيفة ، متوسطة ، شديدة أو لا تطاق).
- المتغير الكمي Quantitative variable: المتغير الكمي هو متغير يمكن قياسه والتعبير عنه عدديًا ويمكن أن يكون منفصلاً أو مستمرًا. عادةً ما تكون قيم المتغير المنفصل أعدادًا صحيحة ، مثل عدد نوبات الإسهال أو عدد الأطفال. المتغير المستمر هو قياس على مقياس مستمر. تشمل الأمثلة الوزن والطول وضغط الدم والعمر وما إلى ذلك على الرغم من أن أنواع المتغيرات .
- على الرغم من أن أنواع المتغيرات يمكن تقسيمها على نطاق واسع إلى فئوي (نوعي)Qualitative وعددي (كمي) Quantitative ، اذ ان من الشائع رؤية أربعة أنواع أساسية من قياسات البيانات :
- اولاً: البيانات الاسمية Nominal Data تمثل الفئات أو الأسماء. لا يوجد ترتيب ضمني لفئات البيانات الاسمية. في هذه الأنواع من البيانات ، يتم وضع الأفراد ببساطة في الفئة أو المجموعة المناسبة ، ويتم حساب الرقم في كل فئة. يجب أن يندرج كل عنصر في فئة واحدة بالضبط.
- ثانياً. البيانات الترتيبية Ordinal Data لها ترتيب بين تصنيفات الاستجابة (الفئات). المسافات أو الفواصل بين الفئات ليست بالضرورة متساوية. على سبيل المثال: أوافق بشدة ، أوافق ، غير متأكد (محايد) ، لااتفق، لااتفق بشدة. في هذه الحالة ، نعلم فقط أن البيانات مرتبة من الاعلى الى الادنى.
ثالثاً: بيانات الفترة Interval Data: تكون الفترات بين القيم هي نفسها. على سبيل المثال ، في مقياس درجة الحرارة فهرنهايت ، يكون الفرق بين 70 درجة و 71 درجة هو نفسه الفرق بين 32 و 33 درجة. لكن المقياس ليس مقياس نسبي . 40 درجة فهرنهايت ليست ضعف 20 درجة فهرنهايت.
رابعا: بيانات النسبة Ratio Data: قيم البيانات في بيانات النسبة لها نسب ذات مغزى ، على سبيل المثال ، العمر عبارة عن بيانات نسبة ، والشخص الذي يبلغ من العمر 40 عامًا يبلغ ضعف عمر شخص يبلغ من العمر 20 عامًا.
تنطبق معظم تقنيات تحليل بيانات النسبة أيضًا على بيانات الفترة. لذلك ، في معظم التطبيقات العملية ، يتم تجميع هذه الأنواع من البيانات (الفترة والنسبة) تحت البيانات الموزونة . في بعض الحالات الأخرى .
امثلة عن الدراسات الصحية والاحصاءات الحيوية :Examples of health studies and vital statistics
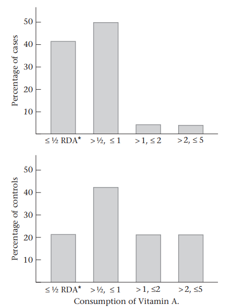
المثال الاول : اقترح بعض الباحثين أن استهلاك فيتامين A يقي من الإصابة بالسرطان. لاختبار هذه النظرية ، يمكن استخدام استبيان غذائي لجمع بيانات عن استهلاك فيتامين A بين 200 مريض بالسرطان في المستشفى (الحالات) و 200 مجموعة (مراقبة(المسيطر عليها)) . سيتم مطابقة الضوابط فيما يتعلق بالعمر والجنس مع حالات السرطان . ما الذي يجب فعله بهذه البيانات بعد جمعها؟
قبل إجراء أي محاولة للإجابة على هذا السؤال ، يجب وصف استهلاك فيتامين A بين مجموعتي الدراسة (الحالات والمراقبة ). الشكل ادناه تشير الرسوم البيانية الشريطية أن عناصر المسيطر عليها تستهلك فيتامين A أكثر مما تستهلكه الحالات ، خاصة عند مستويات الاستهلاك التي تتجاوز البدل اليومي الموصى به ( Recommended Daily Allowance(RDA) ).

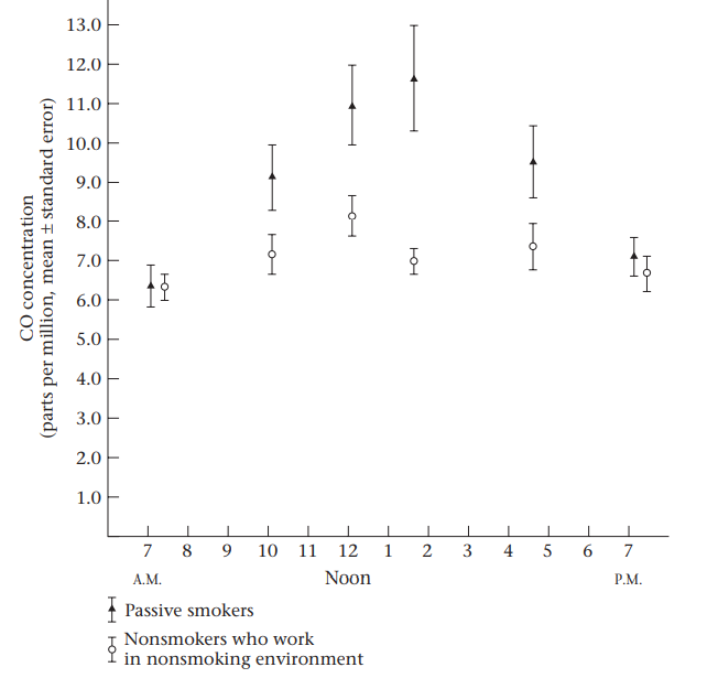
المثال الثاني : أمراض الرئة: اشتبه الاطباء الباحثين في كثير من الأحيان في أن المدخنين السلبيين – الأشخاص الذين لا يدخنون بأنفسهم ولكنهم يعيشون أو يعملون في بيئة يدخن فيها الآخرون – قد يعانون من ضعف في وظائف الرئة نتيجة لذلك. في عام 1980 نشرت مجموعة بحثية في سان دييغو نتائج تشير إلى أن المدخنين السلبيين لديهم بالفعل وظيفة رئوية أقل بكثير من غير المدخنين الذين لم يعملوا في بيئات مدخنة . كدليل داعم ، قام الباحثون بقياس تركيزات أول أكسيد الكربون (CO) في بيئات العمل للمدخنين السلبيين وغير المدخنين الذين لم تسمح شركاتهم بالتدخين في مكان العمل لمعرفة ما إذا كان تركيز ثاني أكسيد الكربون النسبي قد تغير على مدار اليوم. يتم عرض هذه النتائج كمخطط مبعثر في الشكل ادناه .

يُظهر بوضوح أن تركيزات ثاني أكسيد الكربون في بيئتي العمل هي نفسها تقريبًا في وقت مبكر من اليوم ولكنها تتباعد على نطاق واسع في منتصف اليوم ثم تتقارب مرة أخرى بعد انتهاء يوم العمل في الساعة 7 مساءً. توضح عروض الرسوم الدور المهم للإحصاءات الوصفية ، وهو عرض البيانات بسرعة لإعطاء الباحث فكرة عن الاتجاهات الرئيسية في البيانات واقتراح تلميحات حول المكان الذي يتم فيه إلقاء نظرة أكثر تفصيلاً على البيانات .
بعض الدراسات والبحوث الصحية :Some health studies and research
دراسة حالة رقم 1:
آثار التعرض لمادة الرصاص على الوظائف العصبية والنفسية لدى الأطفال
تمت دراسة آثار التعرض لمادة الرصاص على الصحة النفسية والعصبية للأطفال . توجد البيانات الأولية الكاملة لهذه الدراسة في Data Set LEAD.DAT ، والوثائق الخاصة بهذا الملف موجودة في Data Set LEAD.DOC. قدم الدكتور فيليب لاندريجان ، مركز ماونت سيناي الطبي ، مدينة نيويورك ، مجموعة البيانات هذه. جميع مجموعات البيانات موجودة على موقع Companion الإلكتروني.
باختصار ، تم قياس مستويات الرصاص في الدم لدى مجموعة من الأطفال الذين عاشوا بالقرب من معمل لصهر الرصاص في إل باسو El Paso ، تكساس. تم تحديد ستة وأربعين طفلاً لديهم مستويات الرصاص في الدم 40 ميكروغرام / مل في عام 1972 (تم تحديد عدد قليل من الأطفال في عام 1973) ؛ يتم تحديد هذه المجموعة من خلال المتغير GROUP = 2. تم تحديد مجموعة مراقبة مؤلفة من 78 طفلاً بمستويات الرصاص في الدم أقل من 40 ميكروغرام / مل في عامي 1972 و 1973 يتم تحديد هذه المجموعة من خلال المتغير GROUP = 1. يعيش جميع الأطفال بالقرب من معمل صهر الرصاص.
تمت دراسة متغيرين مهمين للنتائج: (1) عدد نقرات الأصابع والرسغ في اليد المهيمنة (مقياس للوظيفة العصبية) و (2) درجة Wechsler الكاملة لمعدل الذكاء.
لاستكشاف علاقة التعرض للرصاص بمتغيرات الدراسة ، تم استعمال برنامج MINITAB للحصول على مخططات مربعة لهذين المتغيرين للأطفال في المجموعات المصابة والمراقبة. تظهر هذه المخططات الصندوقية في الشكلين ادناه. نظرًا لأن اليد المهيمنة لم يتم تحديدها في قاعدة البيانات ، فقد استخدمنا أكبر درجات نقرات الأصابع والرسغ لليد اليمنى واليسرى كبديل لعدد نقرات الإصبع والمعصم في اليد المهيمنة.
نلاحظ أنه على الرغم من وجود انتشار كبير داخل كل مجموعة ، فإن كل من درجات النقر بالإصبع والرسغ (MAXFWT) ودرجات معدل الذكاء على نطاق كامل (IQF) تبدو أقل قليلاً في المجموعة المعرضة منها في المجموعة الضابطة. نقوم بتحليل هذه البيانات بمزيد من التفصيل باستخدام اختبارات t ، وتحليل التباين ، وطرق الانحدار.

دراسة حالة 2: آثار استخدام التبغ على كثافة العظام في النساء في منتصف العمر
تم إجراء دراسة مزدوجة على العلاقة بين كثافة العظام واستهلاك السجائر . تم تسجيل واحد وأربعين زوجًا من التوائم الإناث في منتصف العمر اللائي كانن غير متوافقين في استهلاك التبغ (لهما تاريخ تدخين مختلف) في دراسة في أستراليا ودُعين لزيارة مستشفى في فيكتوريا ، أستراليا ، لقياس كثافة العظام. تم الحصول على معلومات إضافية أيضًا من المشاركين عبر الاستبيان ، بما في ذلك تفاصيل استخدام التبغ ؛ استهلاك الكحول والقهوة والشاي ؛ تناول الكالسيوم من منتجات الألبان. تاريخ انقطاع الطمث والتكاثر والكسور. استخدام موانع الحمل الفموية أو العلاج ببدائل الاستروجين ؛ وتقييم النشاط البدني. قدم الدكتور جون هوبر ، من جامعة ملبورن ، كلية صحة السكان ، أستراليا ، مجموعة البيانات لهذه الدراسة ، والمتاحة على موقع Companion Website تحت اسم الملف BONEDEN.DAT مع الوثائق في BONEDEN.DOC.
تم التعبير عن استهلاك التبغ من حيث عدد عبوات السكائر. تُعرَّف العبوة الواحدة بأنها علبة سجائر واحدة يوميًا (عادةً حوالي 20 سيجارة لكل علبة) تُستهلك لمدة عام واحد. إحدى مزايا استخدام لتوائم في دراسة كهذه هي أن التأثيرات الجينية على كثافة العظام يتم التحكم فيها بطبيعتها.
لتحليل البيانات ، حدد الباحثون اول مرة التوائم الاكثف والأخف تدخينًا من حيث سنوات التدخين. عادة ما يكون لدى التوأم الأخف تدخينًا صفرًا من سنوات العلبة (مما يشير إلى أنها لم تدخن أبدًا) أو في بعض الأحيان إما كان يدخن عددًا قليلاً جدًا من السجائر يوميًا و / أو يدخن لفترة قصيرة فقط. حقق الباحثون بعد ذلك في الاختلاف في كثافة المعادن العظمية (محسوبة بطرح كثافة المعادن بالعظام في التوأم الاكثف تدخيناً من كثافة المعادن بالعظام في التوأم الأخف تدخينًا ، معبرًا عنها كنسبة مئوية من متوسط كثافة العظام للتوائم). وظيفة الاختلاف في تعاطي التبغ (محسوبة على أساس سنوات التدخين للتوائم الأكثر تدخينًا مطروحًا منها سنوات التدخين للتوأم الأخف تدخينًا). تم تقييم كثافة المعادن بالعظام بشكل منفصل في ثلاثة مواقع: العمود الفقري القطني (أسفل الظهر) ، وعنق الفخذ (الورك) ، والجسم الفخذي (الورك). يوضح الشكل ادناه مخطط مبعثر يوضح العلاقة بين الفرق في كثافة المعادن بالعظام مقابل الفرق في استخدام التبغ.

لاحظ أنه بالنسبة للعمود الفقري القطني تظهر علاقة عكسية بين الاختلاف في كثافة المعادن بالعظام والفرق في استخدام التبغ (اتجاه تنازلي). تقريبًا جميع الاختلافات في كثافة المعادن بالعظام تقل عن الصفر ، خاصة بالنسبة للتوائم الذين لديهم اختلاف كبير في استخدام التبغ (30 سنة ) ، مما يشير إلى أن التوأم الذي يدخن كثيرًا كان لديه كثافة عظام معدنية أقل من التوأم الأخف تدخينًا. توجد علاقة مماثلة مع كثافة المعادن بالعظام في عنق الفخذ. النتائج أقل وضوحا لجسم الفخذ. هذا مثال كلاسيكي لدراسة الأزواج المتطابقة ، بالنسبة لمثل هذه الدراسة ، يتم مطابقة مجموعتين هما :المعرضين (التوأم الأكثر تدخينًا) والمسيطرة (التوأم الأخف تدخينًا) مع الخصائص الأخرى المتعلقة النتيجة (كثافة المعادن بالعظام). في هذه الحالة ، تعتمد المطابقة على وجود جينات متشابهة. نقوم بتحليل مجموعة البيانات باستخدام طرق تعتمد على التوزيع ذي الحدين ، واختبارات t ، وتحليل الانحدار.
المصدر :
